Технические характеристики
| Мощность | 26 кВт |
|---|---|
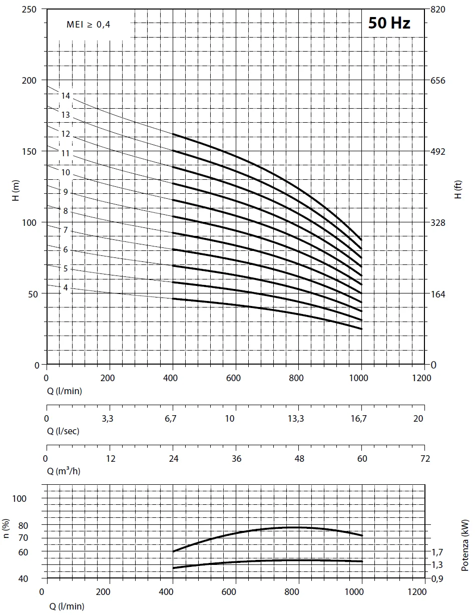
| Напор | от 109 до 194 метров |
| Расход | от 24 до 60 м3/ч |
| Напряжение | 400 В |
| Диаметр | 6" |
|---|---|
| Максимальное содержание песка | 300 г/м3 |
| Температура жидкости | до +35°C |
Погружные скважинные электронасосы воплощают 40-летний опыт компании Panelli в проектировании гидравлических систем. Инновационная запатентованная технология плавающего рабочего колеса с фронтальной регулировкой зазора обеспечивает оптимальный поток воды через насос, что дает значительные гидравлические и эксплуатационные преимущества.
Основные преимущества
- Максимальная эффективность - высокий КПД на всех режимах работы
- Повышенная устойчивость к песку - допустимое содержание песка до 300 г/м³
- Увеличенный срок службы - благодаря высококачественным материалам и уникальной конструкции плавающего рабочего колеса
- Минимальные требования к обслуживанию - надежная конструкция с роботизированной сборкой
Конструкционные материалы
Стандартное исполнение:
- Рабочее колесо: технополимер (поликарбонат Lexan)
- Диффузор: технополимер (Noryl GFN2)
- Промежуточный элемент: нержавеющая сталь AISI 304
- Внешняя гильза: нержавеющая сталь AISI 304
- Напорный патрубок и всасывающая сетка: латунь
- Обратный клапан: нержавеющая сталь AISI 304 (встроенный)
Исполнение из нержавеющей стали: все материалы стандартного исполнения плюс напорный патрубок и всасывающая сетка: микролитая нержавеющая сталь AISI 304
Запатентованное плавающее рабочее колесо
Уникальная конструкция плавающего рабочего колеса оптимизирует поток воды и автоматически компенсирует износ, обеспечивая стабильную работу на протяжении всего срока службы насоса.
Области применения
- Системы водоснабжения жилых и промышленных объектов
- Станции повышения давления
- Системы пожаротушения
- Ирригационные системы
- Скважины и колодцы
- Промышленное водоснабжение
Допуски согласно UNI ISO 9906 уровень 3B
PR - оптимальное решение для большинства применений с латунными компонентами всасывания и нагнетания
PRX - исполнение полностью из нержавеющей стали для особо требовательных условий эксплуатации и агрессивных сред
Габаритные характеристики скважинных насосов Panelli 140 SX 44/17
| A | B | C | Вес двигателя | Вес насосной части |
|---|---|---|---|---|
| 3191 мм | 2010 мм | 1181 мм | 100 кг | 64 мм |
